星辉平台注册登录:高温高压电解液添加剂设计与机理研究
- 分类:资讯平台
- 作者:
- 来源:
- 发布时间:2021-04-17 14:56
- 访问量:
星辉平台注册登录:高温高压电解液添加剂设计与机理研究
【概要描述】 为了满足更高行驶里程的迫切要求,不断增长的电动汽车(EV)市场亟需使用更高能量密度的锂离子电池,这对锂离子电池的可逆性和安全性都提出了严峻的挑战,而电解液的改性是提升电池性能的重要因素。
- 发布时间:2021-04-17
- 访问量:
为了满足更高行驶里程的迫切要求,不断增长的电动汽车(EV)市场亟需使用更高能量密度的锂离子电池,这对锂离子电池的可逆性和安全性都提出了严峻的挑战,而电解液的改性是提升电池性能的重要因素。锂电电解液添加剂可通过调整固态电解质界面膜(CEI和SEI)以及抑制电解液在正负极的氧化还原反应,大幅度改善高比能电池(高电压或高镍三元体系)的高温存储及循环性能。然而,常用的高温型添加剂如PS(1,3-丙磺内酯)和DTD(硫酸乙烯酯)由于绿化问题和热稳定性问题,在商业应用中受到较大阻碍。基于此,星辉平台注册登录于2013年开始致力于一种新型绿化高温添加剂磷酸三丙炔酯(TPP)的研发与合成,通过多年的技术改进与推广,公司创新性的将此自主知识产权的添加剂商业化运用在了高电压NMC/石墨,高镍/石墨及高镍/硅碳等电池体系上,有效改善了多类型(软包、方形铝壳及圆柱)电池的高温高压能量学性能。
由于电池体系多组分间相互反应的复杂性,从而使电解液的基础开发亦受到更大的挑战。截至目前,针对锂离子电池在高温存储方面遇到的实际问题的研究还极为有限。且大多数的添加剂仅基于实用经验进行开发,其所对应的电解液体系在电池全寿命运行中的作用机理尚未得到深入的解析,这也极大地制约着新添加剂的设计和开发,且所得结构难以跳出已有专利限制。为了更好地促进新型电解液添加剂的研发,推动新能量行业发展,星辉平台注册登录现计划陆续公开一系列含自主知识产权的核心机密产品结构。星辉平台注册登录以每年近两亿元的研发投入,通过校企合作等方式,与国内外一流的研发团队合作,通过现象探究其本质,不仅关注产品的应用性能,更对其深层的作用机理以及在全电池寿命中的反应过程进行系统性地推导与验证,从而对新型添加剂的结构设计与研发思路提供进一步的指导与思考。
成果简介
近期,星辉平台注册登录研究院钱韫娴博士和星辉平台注册登录首席科学家邓永红教授,通过与美国陆军学院许康教授的机理推理合作,与南科大罗光富教授的计算模拟合作,深入分析TPP,在ACS Applied Materials &Interfaces期刊上发表了题为“Mechanism Study of Unsaturated Tripropargyl Phosphate as an Efficient Electrolyte Additive Forming Multifunctional Interphases in Lithium Ion and Lithium Metal Batteries”的最新研究。
该工作报道了一种有效的添加剂磷酸三丙炔酯(TPP)。在高电压条件下,TPP可以促使高镍(NMC532)正极表面形成更为致密的CEI膜,并且在金属锂和人工石墨(AG)负极上形成性能优异的SEI膜。仅添加1 wt%的TPP即可显著改善NMC532/AG电池的高温(45°C至60°C)存储和高温(45°C)循环性能,并提升高工作电压(4.4–4.6 V)下的存储性能。多项研究结果表明,TPP不仅可以有效地抑制气体的产生,减缓电池阻抗的增长,同时可以在负极明显地抑制锂枝晶的形成。该工作侧重于研发的实验性与理论计算相结合,检测并验证了TPP在能量学反应中的分解过程及生成产物。该工作同时报告了TPP对于锂离子电池以及锂金属电池性能的提升作用,并且通过一系列先进的表征技术,原位能量学质谱(OEMS)、扫描电子显微镜(SEM)、X射线光电子能谱(XPS)、原位光学显微镜、液相色谱-四极杆飞行时间质谱(LC-QTof-MS)和密度泛函理论(DFT)计算等深入研究了TPP在锂离子电池中的分解机理和电极表面及电解液中的分解产物。此项工作在添加剂结构、界面化学和电池性能之间建立的相互关系将毫无疑问地为未来的锂离子电池的电解液设计提供指导。此工作的成果,体现了星辉平台注册登录一贯以来,求真求实的工作作风,以及对于行业技术创新的探索和追求。
研发亮点
TPP是目前已知的不饱和度最高的新型添加剂,可以明显改善高镍正极、石墨和锂金属负极的锂离子电池及锂金属电池的能量学性能。
TPP在SEI膜和CEI膜的化学反应中起主导作用,因为它可以分别在负极和正极表面优先进行还原分解和氧化分解,其分解产物首次通过实验与理论计算被检测与证实。
TPP可以明显降低气体的生成,抑制锂枝晶的生长,防止过渡金属离子在负极表面的沉积。
图文导读
该工作中,含1.0 mol/L 的六氟磷酸锂(LiPF6)溶于EC/DEC = 3/7 (重量百分比)的电解液作为“Blank”组。加入1wt %的TPP (星辉平台注册登录科技股份有限公司, 99.80%)作为电解液添加剂,研究其对电池性能的影响,称为“TPP” 组。TPP的结构式如图1所示。

图1. TPP的化学结构 (C9H9PO4)。

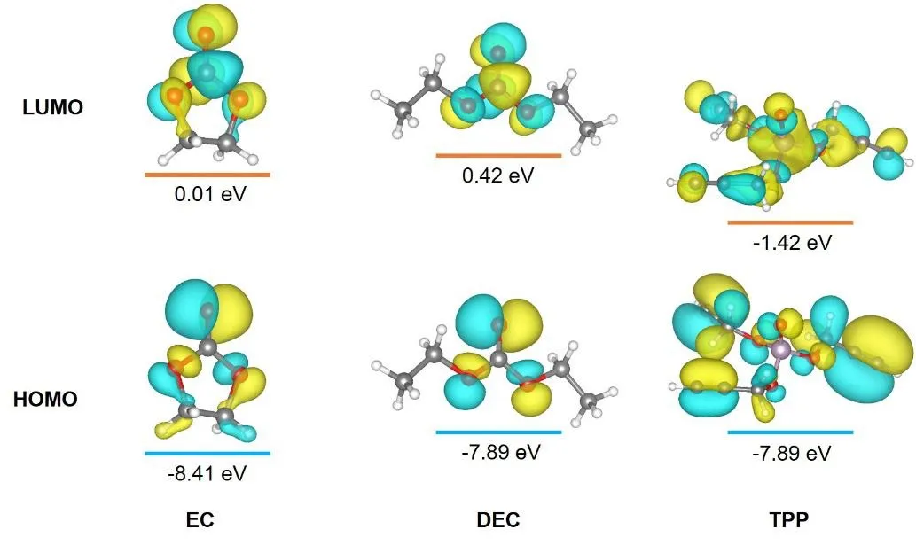
图2. EC、DEC和TPP的HOMO/LUMO能级图(eV)。
图2显示了通过DFT计算的电解液中EC、DEC溶剂分子和TPP的最高占据分子轨道(HOMO)和最低未占分子轨道(LUMO)的能级图。通过计算可知,TPP具有最高的HOMO能级以及最低的LUMO能级,证明其可在电解液主要溶剂之前经历还原反应和氧化反应成SEI和CEI膜。从图2还可以看出,TPP的电子密度主要集中在末端碳原子上,而不是P原子和O原子上,从而确定了TPP的三个烷基基团对其能量学氧化还原反应的重要作用。

图3. 添加含(a) Blank (b) TPP组的电解液体系在 NMC532/AG电池中的45℃循环性能以及(c) Blank (d) TPP组在60℃存储14天后的性能比较
为了进一步研究TPP在真实电池ayx爱游戏官方app平台入口中的性能,组装好的NMC532/AG电池采用1C电流分别在3.0 ~ 4.4 V、3.0 ~ 4.6 V、45℃条件下进行CCCV(恒流恒压)充电和CC(恒流)放电(图3a、图3b)。添加含TPP电解液的电池在不同的截止电压条件下均保持了较高的容量保持和较低的电阻增长。同时,将充电至4.4 V和4.6 V的电池在60℃存储14天后,通过容量保持、容量恢复、电池膨胀和电阻增长来量化的存储性能,结果如图3c和3d所示。TPP的存在明显改善了NMC532/AG电池的高温存储性能,尤其是在高截止电压的情况下性能改善更为显著。1% TPP即可将截止电压为4.6 V的电池的容量保留率从2.9%提高到88.2%,容量恢复率也从2.9%提高到97.1%,电池产气和内阻增长分别从19.2%和57.6%下降到8.9%和31.3%。

图4. (a) NMC-Li电池在2.5 至5.0 V之间的三个充放电循环(0.4 mV/s)中,电池电压与时间的关系。(b)在Blank (c)TPP电解液体系下,NMC-Li电池中生成的CO2随时间的变化。(d) AG-Li电池在2.0和0 V之间的三个充放电循环(0.4 mV/s)中,电池电压与时间的关系。(e)在Blank (f)TPP电解液体系下,AG-Li电池中生成的H2、CO2和C2H4随时间的变化。
TPP对于产气的抑制作用通过原位产气装置(OEMS)进行了确认。图4显示的是以NMC532或AG为工作电极,金属锂为对电极的电池产气的定量检测结果。无论是否存在添加剂TPP,都可以从NMC532电极上检测到CO2, CO2是由正极表面存在的碳酸盐溶剂和/或无机碳酸盐(如Li2CO3)的能量学氧化反应产生的。经过了三个充放电循环后,添加了Blank电解液的NMC-Li电池产生的CO2的总量(0.558 μmol)是添加了1% TPP体系电解液电池(0.204 μmol)的2.7倍。对于AG-Li而言,虽然两个电解液体系均未检测出CO2的生成,但是含有Blank电解液的体系检测到的H2和C2H4总量分别是7.50和2.84 μmol,明显高于含1% TPP的电解液(5.84 μmol H2和0.10 μmol C2H4)体系。OEMS的结果证实了TPP在NMC532或AG电极上均有明显的抑制产气的作用。考虑到TPP在正极和负极上都具有很强的反应活性,产气量的减少显然应该归因于TPP促使形成的具有更强保护作用的CEI膜和SEI膜。

图5. (a)Blank组、(b)TPP组的Li沉积过程的原位光学显微镜结果;(c)Blank电解液体系的锂枝晶的SEM图像;(d)Blank电解液体系的Li枝晶的Li 1s谱。
此外,TPP的加入可以明显的抑制了锂金属负极上锂枝晶的生长。原位光学显微镜观察到,在采用电流密度4.0 mA cm-2电镀4分钟后,使用Blank电解液体系的锂金属表面产生了明显的锂突出物(图5a)。随着时间的推移,这些突出物变得更加严重(图5a),最终形成高孔隙度的锂枝晶。SEM(图5c)和XPS(图5d)结果证实了Blank电解液体系中锂枝晶的生成。这些锂枝晶的形成持续地消耗锂和电解液,导致电池性能的衰减,并可能导致灾难性的后果。与此形成鲜明对比的是,在10% TPP存在时,锂金属负极上的锂枝晶完全消失,金属锂表面在电镀20分钟后依然保持光滑致密的形貌 (图5b)。TPP的这种抑制锂枝晶生成特性有望将其应用于针对锂金属负极的电解液体系中。

图6.通过XPS测试拟合得到的 (a) CEI 和 (b) SEI膜的厚度;(c) CEI膜的TEM 结果。利用可进行表面分析且化学敏感的X射线光电子能谱(XPS)进一步研究了TPP对CEI和SEI的影响并定量比较其相对厚度。CEI膜的厚度通过Mn 2p信号的减弱来进行计算,而SEI膜的厚度通过溅射深度剖面来实现。
与Blank电解液体系循环后形成较厚的CEI膜(2.66 nm)相比,TPP的加入有助于抑制循环过程中NMC532正极上CEI膜的持续增长(1.64 nm),这可以从化成及循环200圈后CEI膜的厚度变化得到验证。此外,图6c显示了CEI膜的TEM图像,TEM结果与XPS的结果保持一致,即与Blank电解液体系相比,TPP的加入有助于生成更薄的CEI膜。特别是加入Blank电解液体系的电池在经历了200圈的循环后,CEI膜由于不断的生长和副反应,呈现出高度的不均匀性,同时不断的消耗电解液。在AG负极一侧,TPP的效果是与正极不同。对于化成后的电池,加入1%的TPP后形成的SEI的厚度为35.3 nm,大于Blank电解液体系(21.4 nm)。然而,以1C的电流循环200圈后,加入TPP的电解液体系电池的SEI膜厚度(37.0 nm)仅增长5%,而在Blank电解液体系中,SEI膜厚度(44 nm)增长了107%。显然,基于TPP还原的电极界面对电子隧穿起到了更有效的屏障作用。

图7.经过200圈循环后(a) NMC正极和(b) AG负极的LC-QTof-MS色谱图。正负电极分别从NMC532/AG电池中提取并在ACN中浸润后进行LC-QTof-MS检测。通过超声振荡从电极表面提取SEI和CEI膜的成分。
为了验证TPP的反应产物和反应机理,作者使用了LC-QTof-MS对循环前后的电池进行了分析,并从电解液,正极和负极中分别解析出了一系列化合物。200圈循环后的NMC正极和AG负极极片的LC-QTof-MS结果如图7所示。在化成后的TPP组电池的电解液中检测到了TPP的特征产物(如C8H11O4P、C9H9O4P、C11H15O7P、C12H20O7、C15H24O9、C15H24O10)等,这些产物在Blank组电解液体系中完全未被检出。而就SEI膜而言,添加Blank电解液的电池在化成后的SEI膜上检测到PEG、C6H15O4P和C10H24O8P2 ,并在循环200圈后也同时检测到了另外三种磷酸低聚物(C3H9O4P, C9H22O8P2和C14H33O12P3)。这些产物均来自于电解液中的溶剂或/和锂盐阴离子(PF6-)的反应。
与之形成鲜明对比的是,含TPP电解液的电池经过化成后,除了PEG外没有在SEI膜上检测到其他任何化合物;经过200圈循环后,在SEI膜上检测到了与电解液中相同的化合物(包括C6H15O4P和C10H24O8P2)。由于C10H24O8P2在SEI、CEI和电解液组分中都存在,因此难以确认其具体来源。对于在SEI膜上检测到而在电解液中不存在的其他所有的化合物,都可以被认为是负极表面和电解液组分之间原位反应的产物。由此可知,TPP的存在可以有效抑制阴离子PF6-的分解反应。
在正极侧的CEI膜上,除C9H19O7P外,添加两组电解液的电池经过200圈循环后均检测到了C9H19O8P、C10H24O8P2、C14H33O12P3、C13H28O11P2、C17H37O15P3、C12H23O10P、C16H32O14P2等7种化合物。由于在电解液和SEI膜中均未检测达到C9H19O8P、C14H33O12P3和C17H37O15P3三种化合物,因此它们应该是通过氧化过程在正极上形成。同时,经过200圈循环后,TPP的分解产物C11H15O7P和C12H20O6在CEI膜中被检测到,证实了TPP参与了CEI膜的形成反应。C11H15O7P和C12H20O6是TPP通过其烷基官能团参与的典型反应产物,图表1从稳定性、反应途径和最终产物三个方面论证其形成机制,这与计算结果也保持了良好的一致性,这也是TPP的分解产物首次在实验中被检测与证实。

图表1. C11H15O7P和(b) C12H20O6的反应机理示意图。
总结与展望
在本工作中,作者提出了一种具有高不饱和度的新型添加剂TPP,可分别在电池的负极和正极表面进行还原性和氧化性分解。计算结果表明,TPP具有比电解液溶剂分子更高HOMO能级和更低的LUMO能级,因此能够在电解液溶剂分子之前参与能量学反应并主导SEI膜和CEI膜的形成。同时,本工作论证了TPP对高镍正极、石墨和锂金属负极能量学性能的影响,并利用多种分析手段和计算方法对其基本化学性质进行了深入的研究。新添加剂TPP无疑将成为新的电解液配方的重要组成部分,以满足锂离子和锂金属电池更高的需求。
文献信息
Yunxian Qian1, Yuanyuan Kang1, Shiguang Hu, Qiao Shi, Qun Chen, Xiwu Tang, Yinglin Xiao, Huajun Zhao, Guangfu Luo*, Kang Xu*, Yonghong Deng*, Mechanism Study of Unsaturated Tripropargyl Phosphate as an Efficient Electrolyte Additive Forming Multifunctional Interphases in Lithium Ion and Lithium Metal Batteries (ACS Appl. Mater. Inter., 2019, DOI: 10.1021/acsami.9b21605)
联系我们
浙江省杭州市余杭区仓前街道文一西路1218号恒生科技园10幢201-2室
+86-755-8992 3768
capchem@zhongchaoshe.com
星辉平台注册登录
新视界
Copyright © 2021 星辉平台注册登录. All Rights Reserved 浙ICP备2021027792号